MBA – (Residential)
120
1:20
| Number of Faculty with | |
|---|---|
| Less than 5 years | 2 |
| 5 to 10 years | 2 |
| More than 10 years | 8 |
| Cadre | Number |
|---|---|
| Professor | 7 |
| Associate Professor | 1 |
| Asst. Professor | 4 |
| Senior Lecturer | |
| Lecturer |
| Qualification | No. of Faculty |
|---|---|
| Ph. D | 10 |
| Post Graduate | 2 |
| S No | Batch | Intake Capacity | No. of students admitted | No. of students appeared for the exam | No. of students passed | Pass Percentage |
|---|---|---|---|---|---|---|
| 1 | 2019 - 21 | 120 | 87 | 83 | 83 | 100 |
| 2 | 2020 - 22 | 120 | 35 | 32 | 32 | 100 |
| 3 | 2021 - 23 | 120 | 87 | 84 | 84 | 100 |
| 4 | 2022 - 24 | 120 | 117 | 109 | 109 | 100 |
| 5 | 2023 - 25 | 120 | 93 | 92 | - | - |
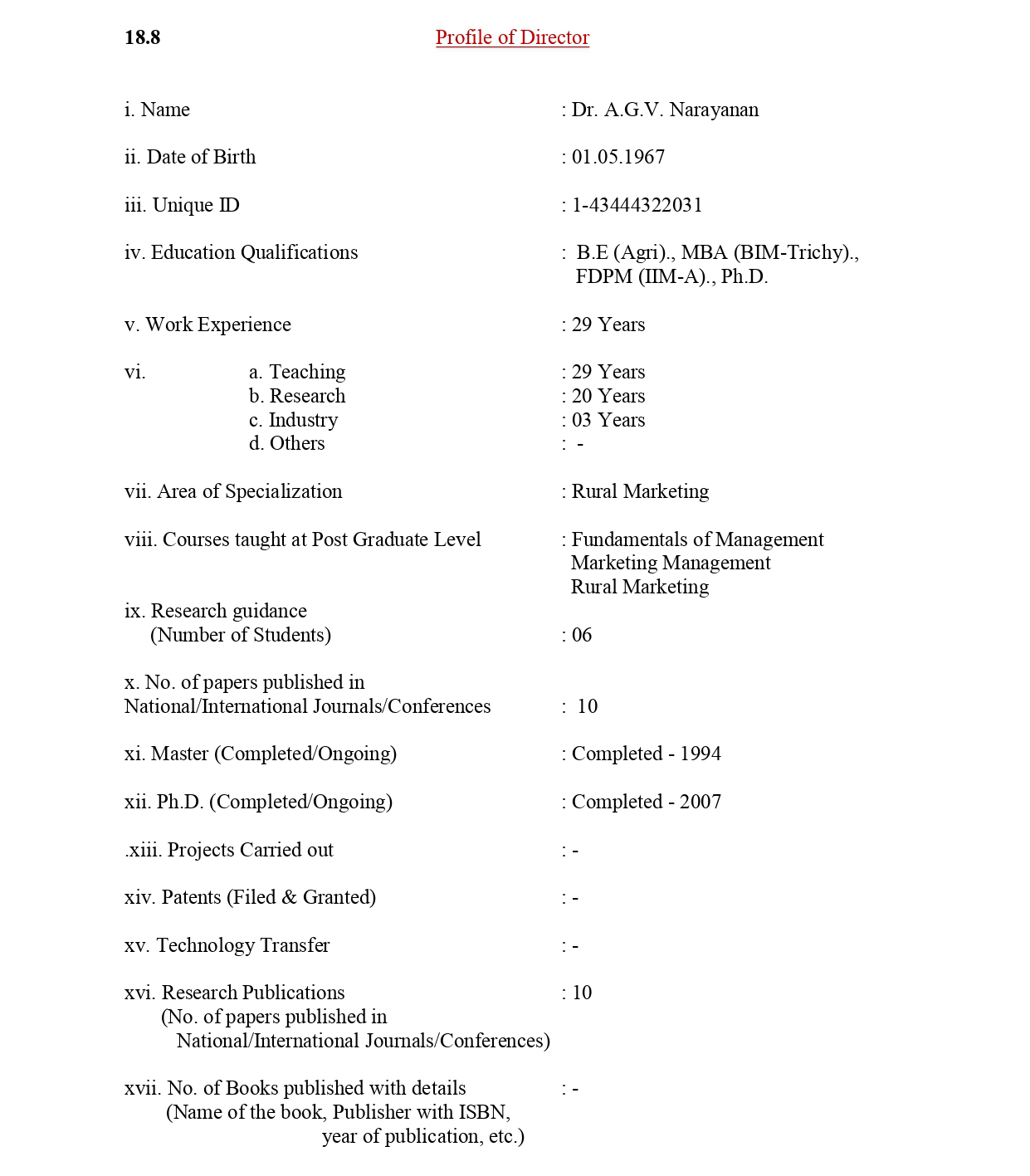
Name : Dr. A.G.V.Narayanan
Name : Dr. Arul Senthil B
Name : Dr. M. Balathandayuthapani
Name : Dr. Benison B
Name : Dr. Devi Premnath
Name : Mr. Nagarajan S
Name : Dr.J.J.Savithri
Name : Dr. K.B. Sridevi
Name : Mr. Srikrishna M S
Name : Mr. Sunil Puliyakot (Fellow; XLRI Jamshedpur)
Designation : Professor & Area Chair – Finance & Economics
Date of Birth : 04.05.1966
Qualifications : PGDRM (IRMA), Fellow (XLRI Jamshedpur)
Area of Specialization : Financial Markets
Professional Experience : 33 years
Research Interests : Banking and Financial Markets
No. of Papers published in International Journals : 5
No. of articles / book chapters : 6
Name : Dr. S.Thirupparkadal NambiThe Placement programme at JSB is managed by the centre for corporate relations. The centre maintains continuous contact with the industry to provide best career opportunity to the students.
The placement programme is organized by communicating with the corporate, fixing up the date, offering the participating companies all the facilities required for the placement like arrangements for conducting tests, group discussions and interviews. Audio visual aids for PPT are provided. The centre is responsible for extending hospitality to the members of the various organizations who visit campus for placement.
|
|
|
|






Total views : 2023889